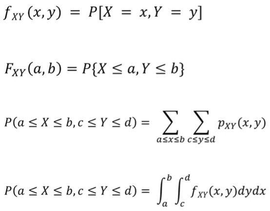
2개 이상의 확률변수이 동시에 발생


정리하면,

Marginal Probability Function 주변확률함수


Fx(분포함수)를 X의 Marginal Distribution이라 함
'통계' 카테고리의 다른 글
| 적률생성함수 Moment Generating Functions (MGF) (0) | 2024.04.12 |
|---|---|
| 상관관계 correlation (0) | 2024.04.12 |
| Continuous Probability Distribution 연속형 확률분포 (0) | 2024.04.12 |
| Discrete Probability Distribution 이산형 확률분포 (1) | 2024.04.12 |
| 확률분포 Probability distribution (0) | 2024.04.12 |