베르누이 분포 Bernoulli Distribution
0 또는 1 , 성공/실패만 있는 확률분포
P = P[Success] = P[X=1]
parameter : p


이항분포 Binomial distribution
베르누이 시행을 독립적으로 N번 실행하여 성공한 횟수
parameter : n,p


포아송 분포 Poisson distribution
단위시간내 특정사건이 발생한 횟수

n이 크고 p가 작으면 λ=np로 근사된다. 즉 포아송분포가 이항분포로 근사된다.
드물게 발생하는 사건에 적합


기하분포 Geometric Distribution
첫번째 성공이 일어날 때까지 필요한 시행횟수


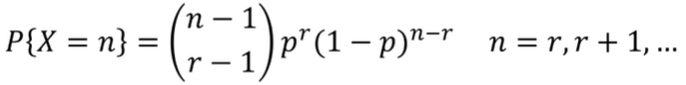
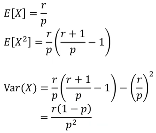
음이항 분포 Negative Binomial Distribution
k번째 성공이 일어날 때까지 필요한 시행횟수


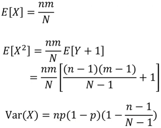
초기하분포 hypergeometric distribution
N개 중 m개 A, N-m개 B에서 n개를 비복원 추출하여 n개 중 A의 개수


'통계' 카테고리의 다른 글
| 결합확률변수 joint probability distribution (0) | 2024.04.12 |
|---|---|
| Continuous Probability Distribution 연속형 확률분포 (0) | 2024.04.12 |
| 확률분포 Probability distribution (0) | 2024.04.12 |
| Expectation 기대값, Variance 분산 (0) | 2024.04.12 |
| 확률함수 Probability function (0) | 2024.04.12 |