균등 분포 Uniform Distribution
확률이 동일


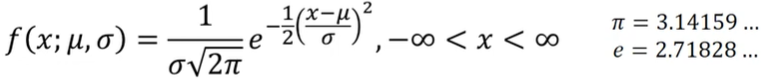
정규분포 Normal distribution (가우시안분포)


표준정규분포 Standard Normal distribution


이항분포의 CDF를 구할때 계산하기 쉽게 정규분포로 근사화할 수 있다. 단, n이 크고 p가 0이나 1에 가깝지 않아야 함


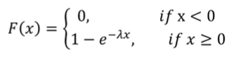
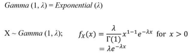
지수분포 Exponential distribution
시간에 관련된 분포이기에 시간은 항상 0보다 크기에 음수가 없다.
λ는 단위시간동안 event발생 평균 수
지수분포는 포아송분포로 생성된 이벤트간의 시간에 대한 분포임




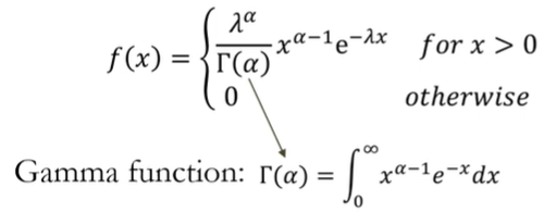
감마분포 Gamma distribution
x : k개 이벤트가 발생할 때까지의 시간




지수분포의 일반화된 분포

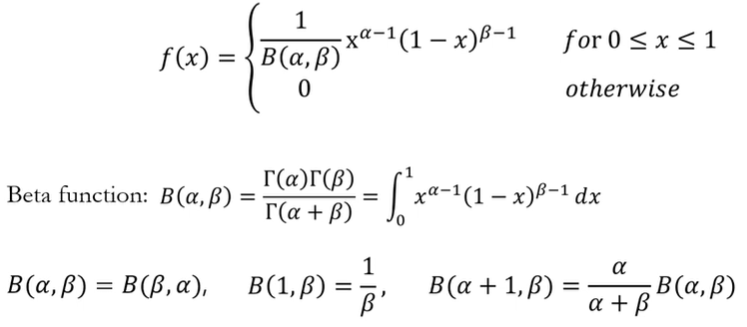
베타분포 Beta distribution
불순율, 작동율, 불량율 등 비율에 사용, 비율을 설명하는 분포



'통계' 카테고리의 다른 글
| 상관관계 correlation (0) | 2024.04.12 |
|---|---|
| 결합확률변수 joint probability distribution (0) | 2024.04.12 |
| Discrete Probability Distribution 이산형 확률분포 (1) | 2024.04.12 |
| 확률분포 Probability distribution (0) | 2024.04.12 |
| Expectation 기대값, Variance 분산 (0) | 2024.04.12 |