Discrete random variable의 기대값

| Xi | 1 | 2 | 3 | 4 | 5 |
| P(Xi) | 1/5 | 1/5 | 1/5 | 1/5 | 1/5 |
| Xi*P(Xi) | 1/5 | 2/5 | 3/5 | 4/5 | 5/5 |
기대값은 1/5+2/5+3/5+4/5+5/5 = 3
nth moment (적률)

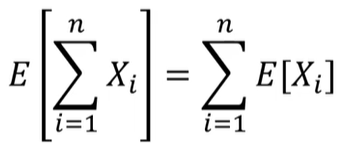
확률변수의 합에 대한 기대값

쉽게 표현하면 : E[x1+x2] = E[x1]+E[x2]
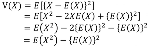
분산 Variance
평균을 기점으로 얼마나 떨어진 것인지 제곱을 취한 측도
기대값에서 퍼진(dispersion) 정도
음수가 나올 수 없다


표준편차 Standard deviation

'통계' 카테고리의 다른 글
| Discrete Probability Distribution 이산형 확률분포 (1) | 2024.04.12 |
|---|---|
| 확률분포 Probability distribution (0) | 2024.04.12 |
| 확률함수 Probability function (0) | 2024.04.12 |
| 확률변수 (Random Variables) (0) | 2024.04.12 |
| Independence 독립 (1) | 2024.04.12 |