Support Vector Machine
고차원 분류에 높은 성능
train error가 줄면 test error도 줄어드는 generalization ability가 좋음


margin을 최대화하면 test error는 최소화된다는 것


Margin


Margin을 w-norm으로 표현



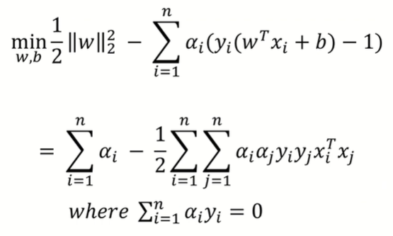
Lagrangian Formulation
목적식과 제약식을 합쳐서 표현











Hard Margin SVM : 선형으로 분리하는 SVM , Linearly Separable case
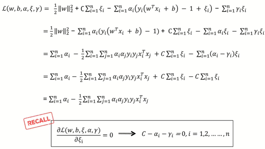
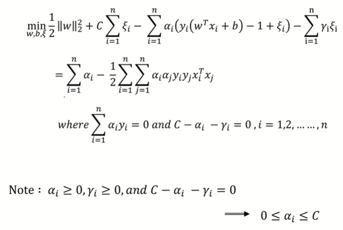
Soft Margin SVM : 선형으로 분리할 수 없는 SVM , Linearly Nonseparable case, 약간의 에러를 허용


Soft Margin SVM


Lagrangian Fomulation


Lagrangian Dual






Kernel Methods for Nonlinear Classification
비선형

Transforming data
고차원으로 변환하여 선형SVM을 적용



Mapping Original space to Kernel space
Φ를 고차원으로 바꿈

Kernel Mapping



Kernel functions 종류

예제) kenel function을 이용한 비선형SVM


Kernel function 선택
잘맞는 kernel을 try and error로 찾아야 됨
polynomial은 4차 미만을 주로 사용



'Machine Learning' 카테고리의 다른 글
| 군집 분석 Clustering (0) | 2024.04.13 |
|---|---|
| PCA (Principal Component Analysis) (0) | 2024.04.13 |
| 랜덤포레스트 Random Forest (0) | 2024.04.13 |
| 의사결정나무 Decision Tree (0) | 2024.04.13 |
| KNN (K-Nearest Neighbor, K-최근접 이웃) (0) | 2024.04.13 |