Model based learning : 데이터로부터 모델을 생성하여 분류,예측함
Instance based learning : 별도의 모델생성없이 인접데이터를 분류,예측함
KNN 특징


KNN은 모델이 아니고 알고리즘이다.

KNN 분류 알고리즘


KNN 예측 알고리즘
Y 평균을 취하는 것이 가장 잘 맞음


KNN 하이퍼파라미터

k 선택




Distance measure

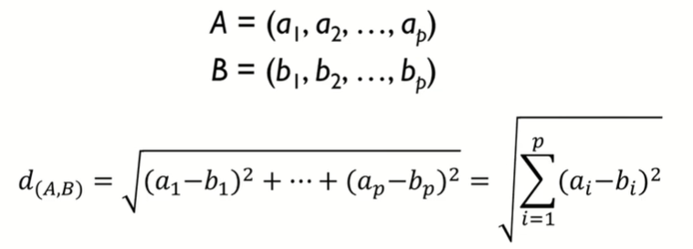
유클리디안 거리 Euclidean Distance


맨하탄 거리 Manhattan Distance


마할라노비스 거리 Mahalanobis distance





마할라노비스거리는 공분산을 고려하기에 B는 상관관계에 반하는 위치이기에 더 멀어짐
Correlation distance
signal, profile, spectral 등 패턴 유사성을 볼 때 사용
범위는 0~2

Spearman Rank Correlation Distance
Rank data의 거리 계산 가능


KNN 장점과 한계점
고차원 데이터에는 적합하지 않음. 따라서 차원 축소가 필요

Weighted KNN
가까운점에 더 가중치를 줄 수 있음


요약

'Machine Learning' 카테고리의 다른 글
| 랜덤포레스트 Random Forest (0) | 2024.04.13 |
|---|---|
| 의사결정나무 Decision Tree (0) | 2024.04.13 |
| 정규화 Regularization (0) | 2024.04.13 |
| 뉴럴네트워크모델 (0) | 2024.04.13 |
| 로지스틱회귀모델 Logistic Regression (0) | 2024.04.13 |