Binomial Theorem
이항. 즉, 두 항의 대수합의 거듭제곱으로 전개하는 방법을 일반적인 형태로 나타내어 주는 정리입니다.


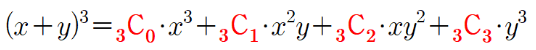
파스칼의 삼각형과 같다.
이것을 일반화하면,




Multinomial Coefficients : 이항계수의 연장선임
n1, n2, n3, ...., nr (Σnr = n) : Group size r개로 나누는 경우의 수는,

예제) 경찰서에서 10명이 근무함, 그중에 순찰인원5명, 사무인원 2명, 대기인원 3명으로 3개그룹으로 나눌수 있는 경우의 수는?
10C5 x 5C2 x 3C3 = 252*10*1 = 2520
공식대로 풀면,

'통계' 카테고리의 다른 글
| 확률변수 (Random Variables) (0) | 2024.04.12 |
|---|---|
| Independence 독립 (1) | 2024.04.12 |
| Bayes' Rule (0) | 2024.04.11 |
| 조건부 확률 (Conditional Probability) (0) | 2024.04.11 |
| 조합수학(Combinatorial mathematics), 조합 이론(combinatorics) (0) | 2024.04.11 |